SB Rainbow recessed ceiling-mounted rain shower with lighting and single spray mode, entirely stainless steel, model number 1208955375

Article Number 1208955375
SB Rainbow recessed ceiling-mounted rain shower with lighting and single spray mode, entirely stainless steel, model number 1208955375
3.046,22 € 4.569,33 € incl. 23% VAT
Free delivery
Ordered today, delivery in 5-6 weeks
214.000+ satisfied customers
Free delivery from 150 €
Easy returns within 30 days
Eco-friendly delivery options
All about this product
Product Information

SB Rainbow Built-in Ceiling Rain Shower with Lighting and 1 Spray Mode, Fully Stainless Steel 1208955375



Specifications
Brand SB Rubinetterie
Colour Stainless steel
Appearance Design
Series AESTHETICS Square
Guarantee 5 years
Build-in Yes
Fixation Built-in
Material Stainless steel
Number of jet types 1
Diameter shower head 470mm
Shape Square
With lighting Yes
Anti-limescale system Yes
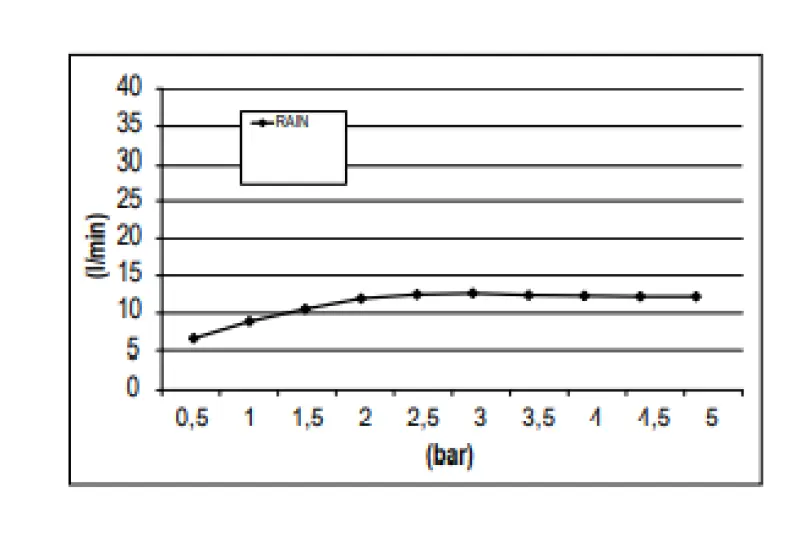
Consumption (L) per minute 13L
Shower arm length n/amm
Coating None
Product class Rain shower / Shower heads
Delivery information
The majority of our orders are shipped with various carriers. Sometimes we use other carriers to deliver specific orders or to ease the load on the main carriers to meet our delivery promises.

The expected delivery time is always shown on the product page. Most products that we have in stock are shipped the same day. The evening before delivery, you will receive tracking information with a time window for the delivery. Important to know: the drivers of our chosen carriers deliver the products to the front door on the ground floor.

Also, for larger products such as granite sinks, large fragile sinks, cabinets, etc., you will receive a tracking code in the evening. These products are not delivered to the neighbors and a signature is required, so someone must be home to receive the product. Note: these large products are not delivered on Saturdays!

If the delivery of a large product fails on the first attempt, the carrier will contact you via email or SMS to send you a schedule so you can choose a time when you will be home.

Delivery surcharges of €30 to €100 apply for shipments to islands, due to additional logistical costs such as water transport and limited accessibility, and there are surcharges for pallet shipments for transporting fragile and heavier products.
Stainless Steel Maintenance

A stainless steel faucet or sink requires almost the same maintenance as a chrome faucet. A stainless steel faucet is made of 100% solid stainless steel metal, so no coating layer or chrome layer has been applied, so that a stainless steel faucet has a very long life. Moreover, a stainless steel faucet is very hygienic due to the stainless steel material.

We have the following cleaning tips for a stainless steel faucet or stainless steel sink:

Tip 1:
Make sure your bathroom is cleaned weekly and of course also the stainless steel taps. Use a special stainless steel cleaning agent or stainless steel cleaning spray. Do not use aggressive cleaning agents such as chlorine, acetic acid, anti-limescale, etc.
Use a microfiber cloth to clean the stainless steel taps. Rinse the stainless steel taps well after cleaning so that no cleaning agent remains.

Tip 2:
After showering, we recommend the To dry off stainless steel shower head or stainless steel shower set so that no limescale can form.
  
Tip 3:
Still last of limescale on your stainless steel faucet? Use a microfiber cloth and special stainless steel cleaner based on citric acid. So do not use aggressive cleaning agents such as JIF, chlorine or other aggressive acids. We also advise against the use of scouring pads or abrasives. The use of these can cause scratches on the stainless steel faucets.

Of course, the above cleaning advice also applies to stainless steel kitchen faucets, stainless steel sink faucets, stainless steel shower faucets and stainless steel bath faucets.

Do you have a business?

Get access to exclusive B2B benefits!

Request your B2B account
10 € Discount
Join the Loriano community of home improvers
Ready to connect and get exclusive content? Our newsletter delivers style ideas, project guides, early access to sales and first looks at new products. Sign up now and get your instant 10 € welcome voucher!

Select your country:
Bank transfer Card Klarna Apple Pay Google Pay Trustly MB Way Multibanco
Loriano.pt | Copyright 2006 - 2025 | All rights reserved | Cookies